Cryogenic Hibernation: A Review of Overwintering Mechanisms in the North American Wood Frog (Rana sylvatica)
DOI:
https://doi.org/10.5203/pmuser.201841615Abstract
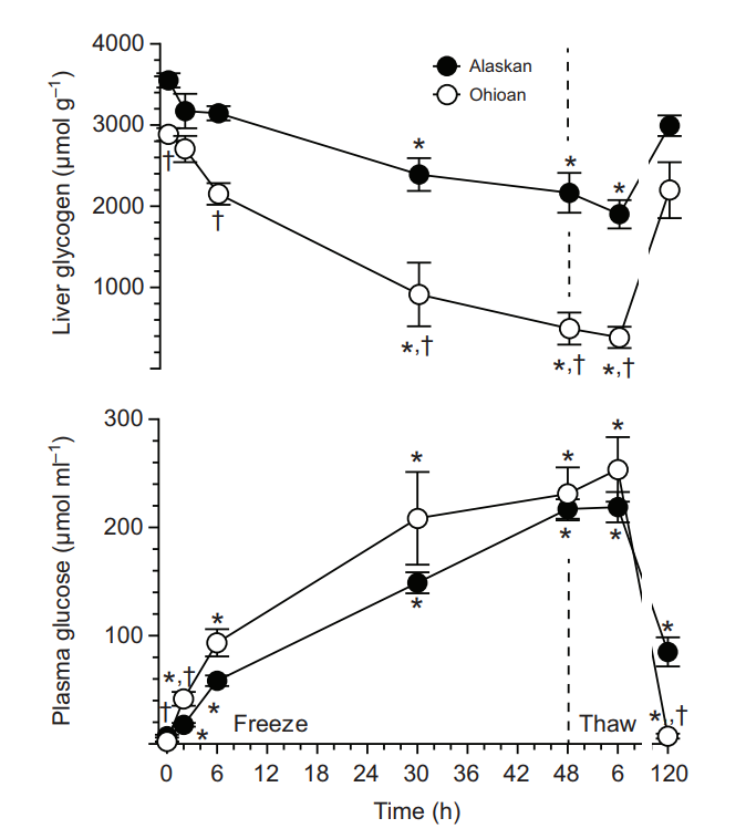
The North American wood frog, Rana sylvatica, can inhabit extremely cold climates utilizing a variety of adaptions. The purpose of this review was to identify the driving mechanisms behind the overwintering response of R. sylvatica. The major response factors that were found to be instrumental to survival include environmental and behavioral adaptations, internal freezing point depression by increasing blood and tissue concentration of glucose and urea, and reduced metabolic activity by increasing blood and tissue concentration of urea. These factors were contrasted between the Alaskan and Ohioan variants to explore and explain the relationships between their overwintering response factors and their geographical positioning.
Downloads
Additional Files
Published
Issue
Section
License

Proceedings of Manitoba's Undergraduate Science and Engineering Research by University of Manitoba is licensed under a Creative Commons Attribution-ShareAlike 4.0 International License. The authors hold the copyright to published articles without restriction, and retain publishing rights.Â