Characterizing the Spatial Heterogeneity of Basic Physical Properties of Lake and Peat Soils as it Relates to the Moss Spur Peatland, Manitoba
DOI:
https://doi.org/10.5203/pmuser.201841616Abstract
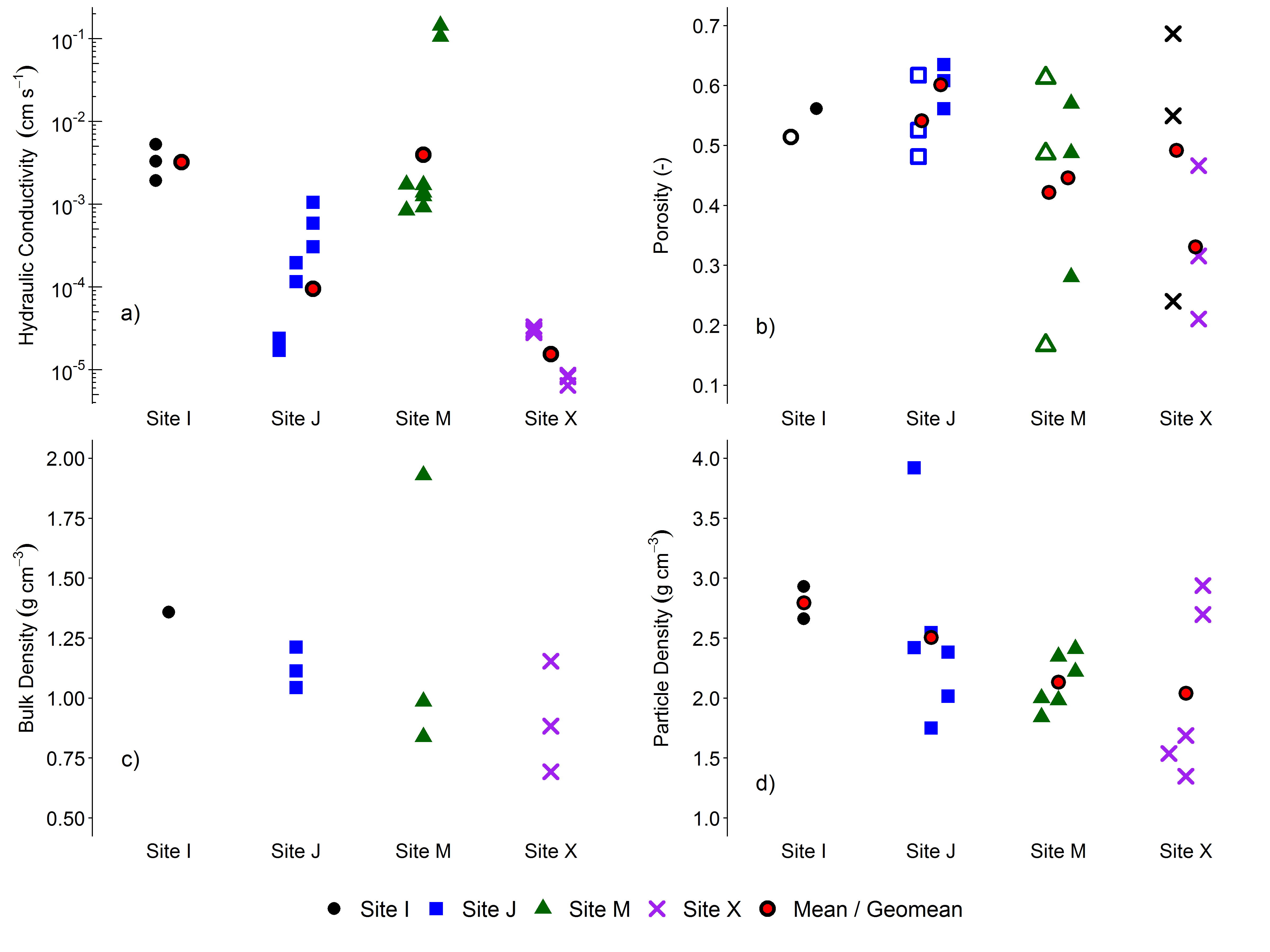
Moss Spur (the study site) is a remnant vacuum-harvested peatland in south eastern Manitoba that has, with little intervention, revegetated on its own. It is quite atypical that Moss Spur has revegetated with little intervention. As part of unraveling this mystery, this study investigates the spatial heterogeneity of vegetation and underlying lake sediments at Moss Spur. Physical properties like hydraulic conductivity, bulk density and porosity relate to hydrology and the ability of water to flow, which are of importance in this study. This study looked at those properties and attempted to find a connection between the physical properties of the peat and underlying sediments and the heterogeneity of surface vegetation found at different study areas at Moss Spur. Peat cores as well as sediment cores were extracted from sub-locations within sites. Sample cores where tested via a variety of methods to establish their physical and hydraulic properties. Heterogeneity based on core samples was revealed between sites matching the general heterogeneity of surface vegetation at Moss Spur. This study presents some regionally key aspects to understanding groundwater relationships with respect to harvested bogs and Manitoba wetlands in general. The variability in lake sediment properties across even the relatively small site of Moss Spur suggests that lake sediment properties cannot be assumed to be the same at every location. Heterogeneity of the surface vegetation in regards to the spontaneous regeneration is found to be correlated with the underlying peat and lake sediments.
Downloads
Additional Files
Published
Issue
Section
License

Proceedings of Manitoba's Undergraduate Science and Engineering Research by University of Manitoba is licensed under a Creative Commons Attribution-ShareAlike 4.0 International License. The authors hold the copyright to published articles without restriction, and retain publishing rights.Â